Quy trình hiệu chuẩn máy tạo sóng được thực hiện để kiểm định các phương tiện đo và kiểm tra tốc độ của phương tiện giao thông. Máy tạo sóng thường có dải tần: (20 ÷ 20.000) Hz và sai số đo ≤ ± 0,1 %. Vậy hiệu chuẩn máy tạo sóng được thực hiện như thế nào? Đâu là những điều kiện để tiến hành thực hiện quá trình hiệu chuẩn? Câu trả lời sẽ có trong bài viết dưới đây của ISOCAL.
Giải thích các thuật ngữ chuyên ngành
Những từ ngữ chuyên ngành trong bài viết này của isocal được giải thích như sau:
– ĐKĐBĐ là tên viết tắt của độ không đảm bảo đo
– UUT còn được biết đến với cái tên: Unit Under Test. Đây là máy tạo sóng cần hiệu chuẩn
Các phương tiện hiệu chuẩn
|
Phương tiện hiệu chuẩn |
Kỹ thuật đo lường cơ bản |
| Chuẩn đo lường | |
| Oát mét hoặc vôn mét chuẩn | – Dải tần từ 10 kHz đến 1 000 MHz
– Giới hạn điện áp từ 10 mV đến 3V – Sai số đo ± 4 % |
| Bộ suy giảm | – Dải tần: 20 Hz ÷ 26,5 GHz
– Sai số: ± 1 dB |
| Máy đo hệ số điều chế biên độ | – Dải tần sóng mang: (0,01 ÷ 1 500) kHz
– Dải tần điều chế: (0,03 ÷ 200) Hz – Dải đo hệ số điều chế biên độ: (0,1 ÷ 100) % |
| Máy đo điều chế | – Dải tần sóng mang: (0,01 ÷ 1 500) kHz
– Dải tần điều chế: (0,03 ÷ 200) Hz – Dải đo hệ số điều chế biên độ: (0,1 ÷ 100) % |
| Máy đếm tần số điện tử | Dải tần: 0 Hz ÷ 3 GHz |
| Phương tiện đo | |
| Các đường dây đo | – Dải tần: (0,03 ÷ 17,5) GHz
– Sai số: ± 10 % |
Điều kiện để tiến hành thực hiện hiệu chuẩn máy tạo sóng
Để có thể tiến hành hiệu chuẩn hiệu quả nhất cần phải đảm bảo các điều kiện môi trường sau đây:
– Nhiệt độ: (25 ± 3) °C
– Độ ẩm: ≤ 80 %RH (không đọng sương)

Quá trình chuẩn bị trước khi tiến hành hiệu chuẩn máy tạo sóng
Để quá trình hiệu chuẩn diễn ra một cách hiệu quả, cần phải thực hiện các công việc chuẩn bị dưới đây:
– Máy tạo sóng (UUT) cần phải được đặt trong môi trường hiệu chuẩn tối thiểu 30 phút trước khi tiến hành thực hiện hiệu chuẩn.
– Ghi lại điều kiện của môi trường trong lúc tiến hành thực hiện hiệu chuẩn
– Các phương tiện thực hiện quá trình hiệu chuẩn cần phải được cấp điện và sấy máy theo đặc trưng kỹ thuật và quy định của nhà sản xuất phương tiện đo
Tiến hành thực hiện hiệu chuẩn máy tạo sóng
Kiểm tra bên ngoài
Để có thể kiểm tra các thiết bị hiệu chuẩn bằng mắt thường, bạn sẽ cần phải chú ý kỹ các thông tin sau:
– Đảm bảo máy tạo sóng UUT phải nguyên vẹn, các núm điều khiển hoạt động bình thường và không bị hỏng hóc cơ khí. Nhãn hiệu của phương tiện đo phải đầy đủ và rõ ràng
– Đèn chỉ thị và cầu chì thể hiện đúng giá trị đo. Đồng thời, đảm bảo chúng không bị hỏng hóc.
Kiểm tra kỹ thuật
Đối với quá trình kiểm tra kỹ thuật sẽ phải tiến hành theo các yêu cầu dưới đây:
– Xác định chính xác giá trị điện áp nguồn nuôi của máy tạo sóng UUT. Nối cáp nguồn vào mạng điện có điện áp tương ứng. Cụ thể hơn là khi nối dây cáp của máy với nguồn điện, sau đó bật công tắc thì đèn chỉ thị phải sáng. Sấy máy theo chỉ dẫn của từng loại máy tạo sóng do nhà sản xuất quy định.
– Thiết lập một vài giá trị tần số và mức điện áp. Tiến hành quan sát chỉ thị ghi nhận các giá trị vừa đặt. Các giá trị đọc cần phải tương ứng với các giá trị thiết lập. Máy làm việc bình thường phải đạt được yêu cầu: máy phải có khả năng thiết lập mức tín hiệu theo chỉ thị trên toàn bộ dải tần trong chế độ dao động liên tục.
– Kiểm tra khả năng điều chế tín hiệu ở chế độ điều chế trong tại một tần số bất kỳ trong dải tần số.

Kiểm tra đo lường
Máy tạo sóng được kiểm tra đo lường dựa vào phương pháp, nội dung và các yêu cầu sau đây:
Xác định sai số tương đối thiết lập tần số tín hiệu
Sai số tương đối thiết lập tần số tín hiệu được xác định bằng phương pháp so sánh trực tiếp giá trị tần số danh định đã thiết lập trên máy cần kiểm tra với giá trị tần số đo được trên máy đếm tần số điện tử. Sơ đồ hiệu chuẩn sẽ được mắc theo hình dưới đây:

Sơ đồ hiệu chuẩn sai số thiết lập tần số
– Máy tạo sóng làm việc với mức chuẩn đã quy định trong thuyết minh kỹ thuật hoặc trong chế độ dao động liên tục với công suất ra cực đại
– Bộ suy giảm có chức năng đưa mức tín hiệu cần thiết đến đầu vào máy đếm tần số. Quá trình này giúp bảo đảm cho máy đếm tần số hoạt động bình thường.
– Đối với máy tạo sóng nhiều dải tần thì cần phải đo ở tất cả các dải tần và đo ở 3 giá trị tần số. Đối với máy có 1 giải tần thì cần đo ở 5 giá trị tần số.
Xác định sai số thiết lập mức chuẩn của tín hiệu
Sơ đồ hiệu chuẩn sẽ được mắc theo hình dưới đây:

Sơ đồ hiệu chuẩn sai số mức chuẩn của tín hiệu
Xác định sai số tần số điều chế ở chế độ điều chế trong
Tần số điều chế được đo bằng máy đếm tần số điện tử, qua máy đo hệ số điều chế biên độ. Sơ đồ hiệu chuẩn được mắc theo hình dưới đây:

Sơ đồ xác định sai số tần số ở chế độ điều chế xung trong
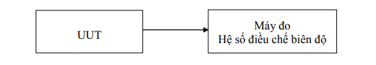
Xác định sai số cơ bản thiết lập sai số điều chế biên độ
Sai số cơ bản thiết lập hệ số điều chế biên độ được xác định nhờ máy đo hệ số điều chế biên độ. Sơ đồ hiệu chuẩn được theo hình dưới đây:

Sơ đồ xác định hệ số cơ bản thiết lập hệ số điều chế biên độ
Xử lý chung
– Máy tạo sóng sau khi hiệu chuẩn nếu đạt các yêu cầu kỹ thuật và (U + | Dd |) ≤ 0,1 % thì được cấp chứng chỉ hiệu chuẩn. Bao gồm: tem hiệu chuẩn, giấy chứng nhận hiệu chuẩn,… theo quy định.
– Máy tạo sóng sau khi hiệu chuẩn nếu không đạt một trong các yêu cầu trên thì không cấp chứng chỉ hiệu chuẩn mới và xóa dấu hiệu chuẩn cũ (nếu có).
– Chu kỳ hiệu chuẩn của máy tạo sóng là 12 tháng
Lời kết
Quy trình hiệu chuẩn máy tạo sóng được thực hiện để kiểm định các phương tiện đo và kiểm tra tốc độ của phương tiện giao thông. Hiệu chuẩn máy tạo sóng sẽ giúp cho thiết bị này hoạt động chính xác và tránh được những rủi ro không đáng có. Mọi thắc mắc của bạn xin liên hệ đến isocal.vn hoặc để lại dưới bình luận của bài viết. Nhân viên của ISOCAL sẽ giải đáp mọi thắc mắc của bạn trong thời gian sớm nhất.
Xem thêm: Tổng quan về quy trình chuẩn kiểm định máy đo điện tim

